智慧城市工程学院
首页
学院概况
学院简介
学院荣誉
学院新闻
通知公告
师资队伍
学院领导
智能建造系
土木工程系
工程造价系
工程管理系
建设工程系
辅导员团队
教学科研
专业设置
课程建设
科研工作
教学管理
微专业
党团建设
党团活动
实践教学
实践教学中心
校企合作
作品展示
实践教学安排
学生工作
学生风采
大赛掠影
社团活动
工作资讯
就业创业
招聘专栏
优秀毕业生风采
下载中心
下载中心
学校首页
实践教学
实践教学中心
校企合作
作品展示
实践教学安排
当前位置:
首页
/
实践教学安排
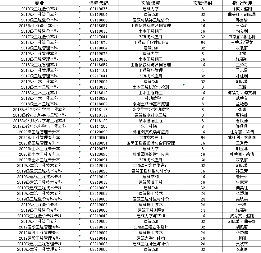
2020-2021-1学期课内实验安排
发布时间:2020-09-01
浏览量:6374
map